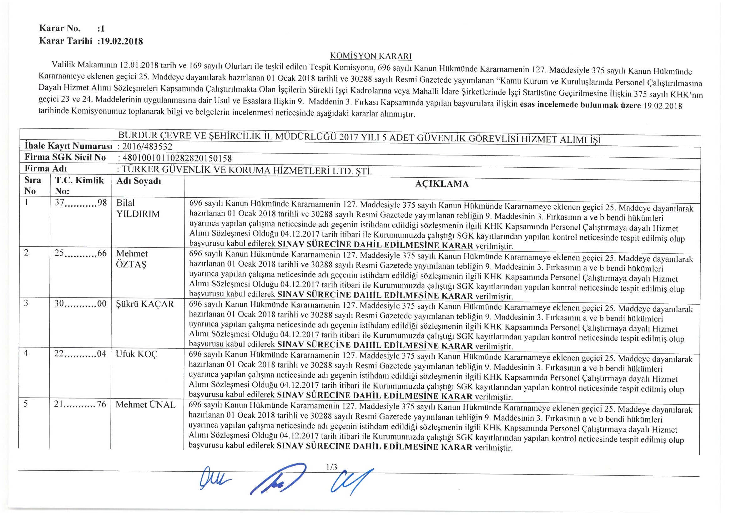
Müdürlüğümüz Emrinde Çalışan Taşeron İşçilerin Kadroya Geçirilmesi İle İlgili Sınava Girmeye Hak Kazananlar Listesi
Müdürlüğümüz emrinde çalışan taşeron işçilerin kadroya geçmek için yapmış oldukları başvuruları ile ilgili İl Müdürümüz başkanlığındaki komisyonun almış olduğu karar kamuoyuna saygıyla ilan olunur.


